Ir al contenido

Matemáticas y Métodos Numéricos

Las Matemáticas te cuentan las cosas. Desde el nacimiento nos miden y nos pesan. Y las Matemáticas nos acompañan cada día en nuestra vida cotidiana.

  • Inicio
  • Autores
  • Matemáticas I
    • Lecciones Matemáticas I
    • Libro Conjuntos
  • Matematicas II
    • Lecciones Matemáticas II
  • Métodos Numéricos
    • MN0 Antecedentes
    • MN1 Introducción
    • MN2 Ecuaciones no lineales
    • MN3 Sistema de Ecuaciones
    • MN4 Interpolación
    • MN5 Integración
    • MN6 Ecuaciones diferenciales
    • Problemas Típicos
  • Entrega de Ejercicios

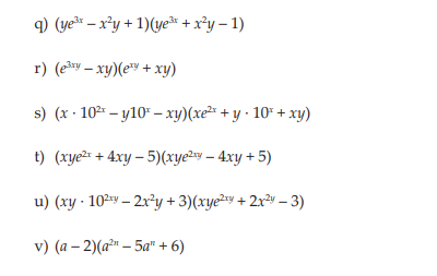
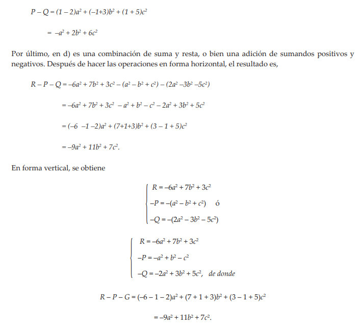
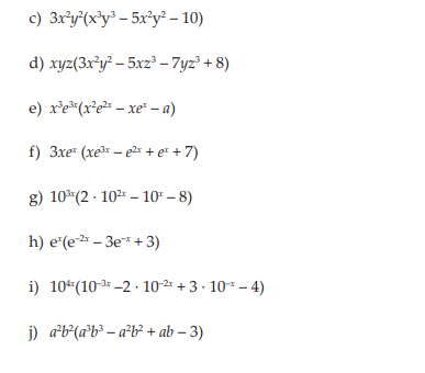
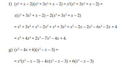
Tema5

siguiente tema
Creado con WordPress