La integral definida es un caso de la integral utilizado para determinar el valor de las áreas delimitadas por una gráfica dentro de un intervalo y el eje horizontal.

Recordamos la regla de Barrow y explicamos cómo utilizarla para calcular el área de la región que encierran la gráfica de una función.

La Regla de Barrow establece que la integral definida anterior es

1. Regla de Barrow
Supongamos que F(x) es una primitiva de f(x), es decir,

La regla de Barrow establece que
![Regla de Barrow: la integral definida de f(x) en [a,b] es F(b)-F(a) Recordamos la regla de Barrow y explicamos cómo utilizarla para calcular el área de la región que encierran la gráfica de una función y el eje de abscisas o el área que encierran las gráficas de dos funciones. Con ejemplos y problemas resueltos. Integrales definidas. Bachillerato y universidad. Matemáticas.](https://www.problemasyecuaciones.com/integrales/definida/T1.png)
2. Área entre una gráfica y el eje x
Las aplicaciones de la integral definida son variadas, siendo el cálculo de áreas una de ellas.
Caso 1
Si la función f(x) es no negativa en el intervalo [a,b][fa, fb], entonces su integral definida es el área que encerrada entre su gráfica y el eje OX:
![área bajo la gráfica de f(x) = x^2 en el intervalo [0,2] Recordamos la regla de Barrow y explicamos cómo utilizarla para calcular el área de la región que encierran la gráfica de una función y el eje de abscisas o el área que encierran las gráficas de dos funciones. Con ejemplos y problemas resueltos. Integrales definidas. Bachillerato y universidad. Matemáticas.](https://www.problemasyecuaciones.com/integrales/definida/G0.png)
La representación anterior corresponde a la gráfica de la función

El área que encierra su gráfica con el eje X en el intervalo [0,2][0,2] es la siguiente integral definida:
![calculamos la integral definida de x^2 en el intervalo [0,2], obteniendo 8/3 Recordamos la regla de Barrow y explicamos cómo utilizarla para calcular el área de la región que encierran la gráfica de una función y el eje de abscisas o el área que encierran las gráficas de dos funciones. Con ejemplos y problemas resueltos. Integrales definidas. Bachillerato y universidad. Matemáticas.](https://www.problemasyecuaciones.com/integrales/definida/T3.png)
Caso 2
Si la función f(x) es no positiva en el intervalo [a,b], entonces su integral definida es el área encerrada entre su gráfica y el eje X, pero con valor negativo:
![área sobre la gráfica de f(x) = -x^2 en el intervalo [0,2] Recordamos la regla de Barrow y explicamos cómo utilizarla para calcular el área de la región que encierran la gráfica de una función y el eje de abscisas o el área que encierran las gráficas de dos funciones. Con ejemplos y problemas resueltos. Integrales definidas. Bachillerato y universidad. Matemáticas.](https://www.problemasyecuaciones.com/integrales/definida/G1.png)
La representación corresponde a la gráfica de la función

El área que encierra su gráfica con el eje X en el intervalo [0,2] es el valor absoluto de la integral definida:
![calculamos el valor absoluto de la integral definida de -x^2 en [0,2], obeniendo 8/3 Recordamos la regla de Barrow y explicamos cómo utilizarla para calcular el área de la región que encierran la gráfica de una función y el eje de abscisas o el área que encierran las gráficas de dos funciones. Con ejemplos y problemas resueltos. Integrales definidas. Bachillerato y universidad. Matemáticas.](https://www.problemasyecuaciones.com/integrales/definida/T5.png)
Caso 3
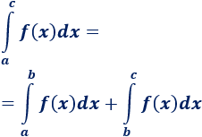
De la siguiente propiedad de las integrales definidas para a ≤ b ≤ c:

Si la función f(x) es negativa y positiva, la región que encierra su gráfica con el eje X está dividida en varias regiones, algunas sobre el eje y otras bajo éste:
![región encerrada entre la gráfica de f(x) = x^2-4x+3 y el eje de abscisas en el intervalo [0,2] Recordamos la regla de Barrow y explicamos cómo utilizarla para calcular el área de la región que encierran la gráfica de una función y el eje de abscisas o el área que encierran las gráficas de dos funciones. Con ejemplos y problemas resueltos. Integrales definidas. Bachillerato y universidad. Matemáticas.](https://www.problemasyecuaciones.com/integrales/definida/G3.png)
La representación corresponde a la gráfica de la función

El área que encierra su gráfica con el eje OX en el intervalo [0,2]. [0,2] esta dividida en dos regiones. Su área es
![el área es la integral definida de f(x) en [0,1] más el valor absoluto de la integral definida de f(x) en [1,2] Recordamos la regla de Barrow y explicamos cómo utilizarla para calcular el área de la región que encierran la gráfica de una función y el eje de abscisas o el área que encierran las gráficas de dos funciones. Con ejemplos y problemas resueltos. Integrales definidas. Bachillerato y universidad. Matemáticas.](https://www.problemasyecuaciones.com/integrales/definida/T8.png)
Tenemos que calcular una integral para cada región porque en la región que está bajo el eje, la integral es negativa.
La primera integral es
![calculamos la integral definida de x^2-4x+3 en [0,1], obteniendo 4/3 Recordamos la regla de Barrow y explicamos cómo utilizarla para calcular el área de la región que encierran la gráfica de una función y el eje de abscisas o el área que encierran las gráficas de dos funciones. Con ejemplos y problemas resueltos. Integrales definidas. Bachillerato y universidad. Matemáticas.](https://www.problemasyecuaciones.com/integrales/definida/T9.png)
La segunda es
![calculamos la integral definida de x^2-4x+3 en [1,2], obteniendo -2/3 Recordamos la regla de Barrow y explicamos cómo utilizarla para calcular el área de la región que encierran la gráfica de una función y el eje de abscisas o el área que encierran las gráficas de dos funciones. Con ejemplos y problemas resueltos. Integrales definidas. Bachillerato y universidad. Matemáticas.](https://www.problemasyecuaciones.com/integrales/definida/T10.png)
Por tanto, el área total de la región es

3. Área entre dos gráficas
Consideremos el área de la región encerrada entre las gráficas de dos funciones:

Son las gráficas de las funciones

Estas gráficas intersectan en los puntos

Es fácil ver que el área que encierran viene dada por la integral definida
![calculamos la integral definida de 2x-x^2 en [0,2], obteniendo 4/3 Recordamos la regla de Barrow y explicamos cómo utilizarla para calcular el área de la región que encierran la gráfica de una función y el eje de abscisas o el área que encierran las gráficas de dos funciones. Con ejemplos y problemas resueltos. Integrales definidas. Bachillerato y universidad. Matemáticas.](https://www.problemasyecuaciones.com/integrales/definida/T14.png)
Se observa que en la integral hemos escrito f−g porque la gráfica de f(x) está por encima de la de g(x): el área corresponde al área que encierra la gráfica de f(x) con el eje X menos el área que encierra la de g(x) con el eje X.
Además, el área corresponde con la integral porque la región está situada sobre el eje X. De no ser así, se debe calcular el área con un valor absoluto y/o con varias integrales.